首页
集团概况
新闻动态
二级企业概况
信息公开
党建之窗
三明实践
联系我们
信息公开
Information disclosure
通 知
招投标
采购询价
人才招聘
通知
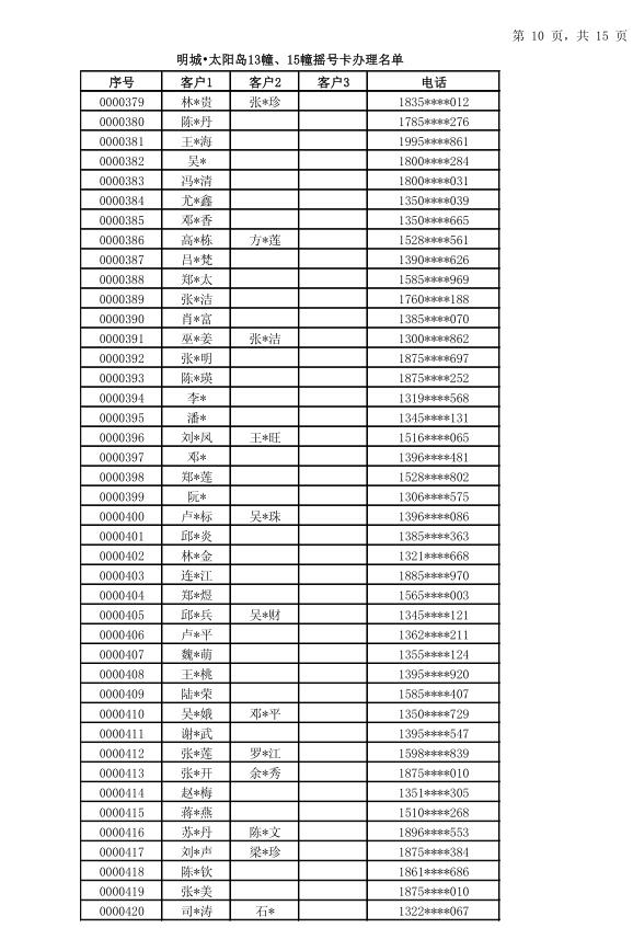
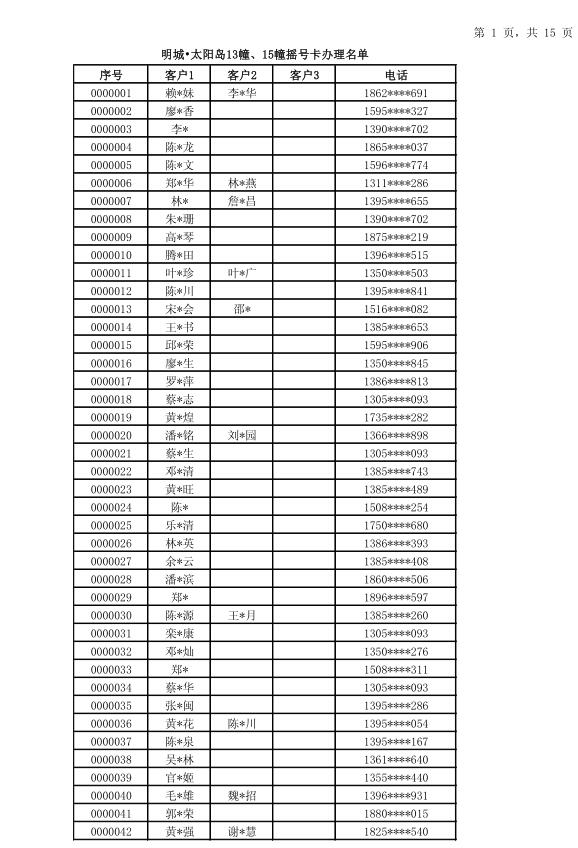
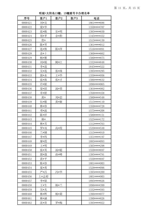
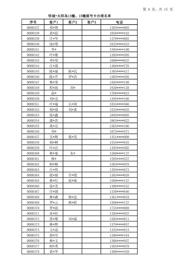
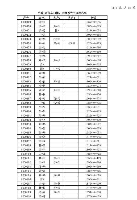
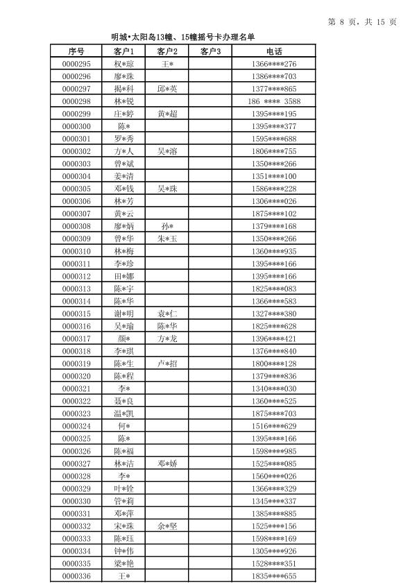
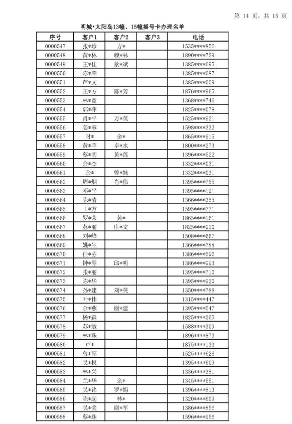
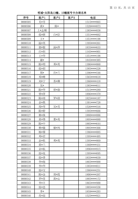
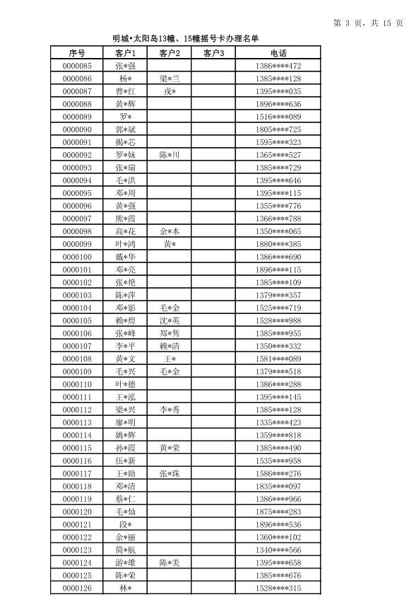
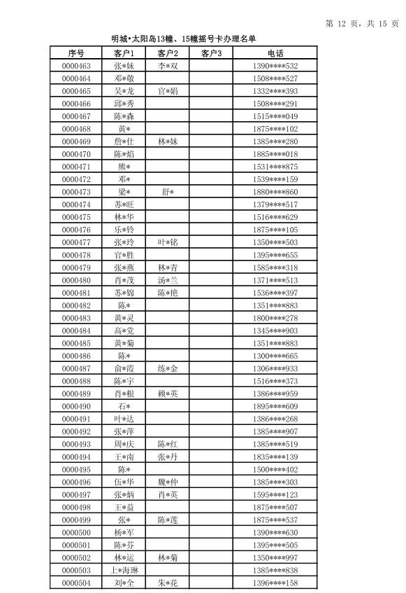
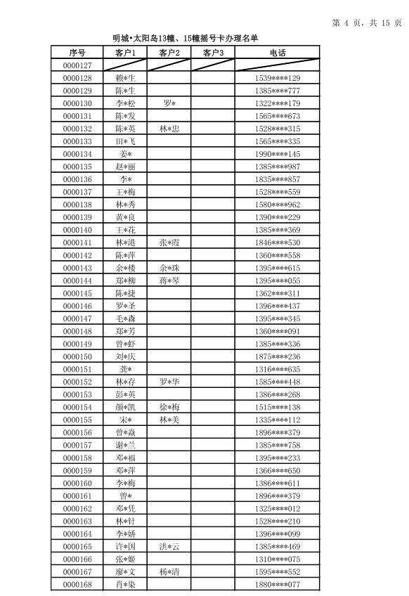
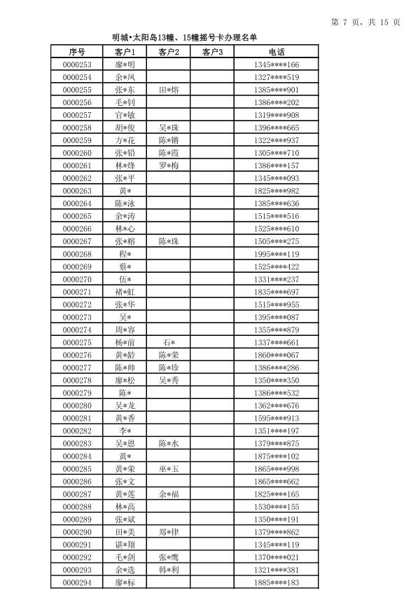
明城·太阳岛13幢15幢开盘“摇号卡办理名单”公示
发布时间:2020-01-13 11:02:00 阅读:10193
上一篇:
明城太阳岛开盘方案
下一篇:
明城·太阳岛13幢15幢开盘摇号卡中签名单公示
千亿球友会
|
博鱼·官方版网站登录入口
|
hth华体官网首页登录入口
|
球友会·(QY)官方网站
|
开云官方端网站
|
开云足球
|
乐鱼最新首页登录
|
易游官网平台
|
江南电子官网
|